LÝ THUYẾT
Để rút gọn biểu thức có chứa căn bậc hai, ta cần biết vận dụng thích hợp các phép tính và các phép biến đổi đã biết:
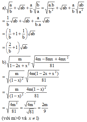
- $$ \sqrt{{{A}^{2}}}=\,|A|\,=\,\left\{ \begin{align} & A\,\,\,\,\,khi\,\,A\ge 0 \\ & -A\,\,khi\,\,A<0 \\ \end{align} \right. $$
- $$ \sqrt{AB}=\sqrt{A}.\sqrt{B} $$ với $$ A\ge 0\,,\,\,B\ge 0 $$
- $$ \sqrt{\frac{A}{B}}=\frac{\sqrt{A}}{\sqrt{B}} $$ với $$ A\ge 0\,,\,\,B>0 $$
- $$ \sqrt{{{A}^{2}}B}=\,|A|\sqrt{B} $$ với $$ B\ge 0 $$
- $$ \sqrt{\frac{A}{B}}=\frac{\sqrt{AB}}{|B|} $$ với $$ AB\ge 0,\,\,B\ne 0 $$
- $$ \frac{A}{\sqrt{B}}=\frac{A\sqrt{B}}{B} $$ với $$B > 0$$
- $$ \frac{C}{\sqrt{A}+B}=\frac{C\left( \sqrt{A}-B \right)}{A-{{B}^{2}}}\,\,;\,\, $$ $$ \frac{C}{\sqrt{A}-B}=\frac{C\left( \sqrt{A}+B \right)}{A-{{B}^{2}}} $$ với $$ A\ge 0 $$ và $$ A\ne {{B}^{2}} $$ ,
- $$ \frac{C}{\sqrt{A}+\sqrt{B}}=\frac{C\left( \sqrt{A}-\sqrt{B} \right)}{A-B}\,\,;\, $$ $$ \,\,\frac{C}{\sqrt{A}-\sqrt{B}}=\frac{C\left( \sqrt{A}+\sqrt{B} \right)}{A-B} $$ với $$ A\ge 0,\,B\ge 0,\,\,A\ne B $$ .




