Kỳ thi tốt nghiệp THPT sắp diễn ra, để đạt được kết quả cao môn Vật Lí, ngoài việc cần nắm chắc lý thuyết thì các công thức cũng rất quan trọng vì đây là yếu tố quyết định trong quá trình làm bài tập. Chính vì thế, Học Mãi sẽ chia sẻ tuyển tập tất cả công thức Vật Lí 12 để các em học sinh có thể nắm được.
Hầu hết các chương trong chương trình Vật Lí 12 đều có các công thức cơ bản và nâng cao cần nhớ để phục vụ cho việc làm bài tập. Hệ thống các công thức Vật Lí 12 và các dạng bài phổ biến hay gặp nhất bao gồm:
Bài 1: Đại cương dao động điều hòa
1.1 Phương trình dao động điều hòa
1.2 Phương trình gia tốc, vận tốc
1.3 Chu kỳ, tần số
1.4 Phương trình lập thời gian
1.5 Các công thức lượng giác quan trọng
Bài 2: Bài toàn viết phương trình dao động
Bài 3: Ứng dụng VLG trong giải toán dao động điều hòa
3.1 Bài toán tìm thời gian ngắn nhất vật đi từ A đến B
3.2 Bài toán xác định thời điểm vật đi qua vị trí M cho trước
3.3 Bài toán xác định quãng đường
3.4 Bài toán tính tốc độ trung bình
3.5 Bài toán tính vận tốc trung bình
3.6 Bài toán xác định số lần vật đi qua vị trí X cho trước trong khoảng thời gian "t"
3.7 Bài toán xác định pha ban đầu của dao động
Bài 4: Con lắc lò xo
4.1 Công thức về chu kỳ và tần số
Bài 5: Cắt - ghép lò xo
5.1 Cắt lò xo
5.2 Ghép lò xo
Bài 6: Chiều dài lò xo - lực đàn hồi - lực phục hồi
6.1 Lò xo thẳng đứng
- Chiều dài lò xo
- Lực đàn hồi
- Lực phục hồi (hay lực kéo về)
6.2 Lò xo nằm ngang
Bài 7: Năng lượng con lắc lò xo
7.1 Phương pháp giải bài tập con lắc lò xo
7.2 Một số lưu ý giúp giải nhanh bài tập về năng lượng
Bài 8: Con lắc đơn
8.1 Phương trình giao động
8.2 Phương trình vận tốc, gia tốc
8.3 Công thức chu kỳ, tần số
8.4 Công thức độc lập thời gian
Bài 9: Năng lượng con lắc đơn
9.1 Năng lượng con lắc đơn
9.2 Vận tốc, lực căng dây
Bài 10: Sự thay đổi chu kỳ con lắc đơn và bài toán nhanh chậm của con lắc đơn
10.1 Trường hợp thay đổi chiều dài
10.2 Sự thay đổi do trọng lực (g)
10.3 Dạng bài con lắc đơn trên xe di chuyển có gia tốc trên mặt phảng
10.4 Con lắc đơn được đặt trong từ trường đều
10.5 Con lắc đơn chịu tác dụng của lực đẩy Archimedes
10.6 Bài toán nhanh chậm của đồng hồ khi có cả sự thay đổi của độ cao và nhiệt độ
Bài 11: Tổng hợp dao động điều hòa
11.1 Độ lệch pha của 2 dao động
11.2 Tổng hợp 2 dao động cùng phương, cùng tần số
11.3 Tổng hợp nhiều dao động
11.4 Tổng hợp dao động bằng máy tính
11.5 Tìm dao động thành phần
Bài 12: Lý thuyết các loại dao động
12.1 Các loại dao động
12.2 Dao động tắt dần của con lắc lò xo
12.3 Dao động tắt dần của con lắc đơn
12.4 Bài tập về cộng hưởng
Bài 13: Bài tập nâng cao, bài toán va chạm - hệ vật
13.1 Bài toán về va chạm
- Va chạm mềm
- Va chạm đàn hồi
13.2 Bài toán xác định điều kiện biên độ dể dây treo không bị trùng
13.3 Bài toán không dời vật
Bài 1: Sự truyền sóng
1.1 Khái niệm
1.2 Phương trình sóng
Bài 2: Giao thoa sóng
2.1 Định nghĩa
2.2 Phương trình giao thoa sóng
- Trường hợp 2 nguồn cùng pha
- Trường hợp 2 nguồn lệch pha bất kỳ
Bài 3: Sóng dừng
3.1 Sóng phản xạ
3.2 Sóng dừng
3.3 Điều kiện để có sóng dừng
3.4 Phương trình sóng dừng
Bài 4: Sóng âm
4.1 Khái niệm sóng âm
4.2 Đặc trưng vật lý của sóng âm
4.3 Đặc trưng sinh lý của sóng âm
4.4 Nhạc âm
Bài 1: Mạch dao động LC
1.1 Phương trình điện tích
1.2 Phương trình dòng điện
1.3 Phương trình hiệu điện thế
1.4 Chu kỳ, tần số
1.5 Quy tắc ghép tụ điện, cuộn dây
- Ghép nối tiếp
- Ghép song song
1.6 Viết phương trình u-i-q
Bài 2: Năng lượng mạch LC
2.1 Công thức tính năng lượng mạch LC
2.2 Công thức xác định năng lượng tỏa
Bài 3: Sóng điện từ và truyền thông bằng sóng vô tuyến
3.1 Điện từ trường
3.2 Sóng điện từ, công thức xác định bước sóng điện từ
3.3 Truyền thông bằng sóng điện từ
Các em học sinh có thể tham khảo thêm khóa học Ôn tập Vật Lí 12 được các thầy cô tổng hợp và luyện tập lý thuyết một cách khoa học và dễ hiểu nhất.
Bài 1: Đại cương dòng điện xoay chiều
1.1 Định nghĩa
1.2 Các công thức về dòng diện xoay chiều
Bài 2: Dòng điện RLC
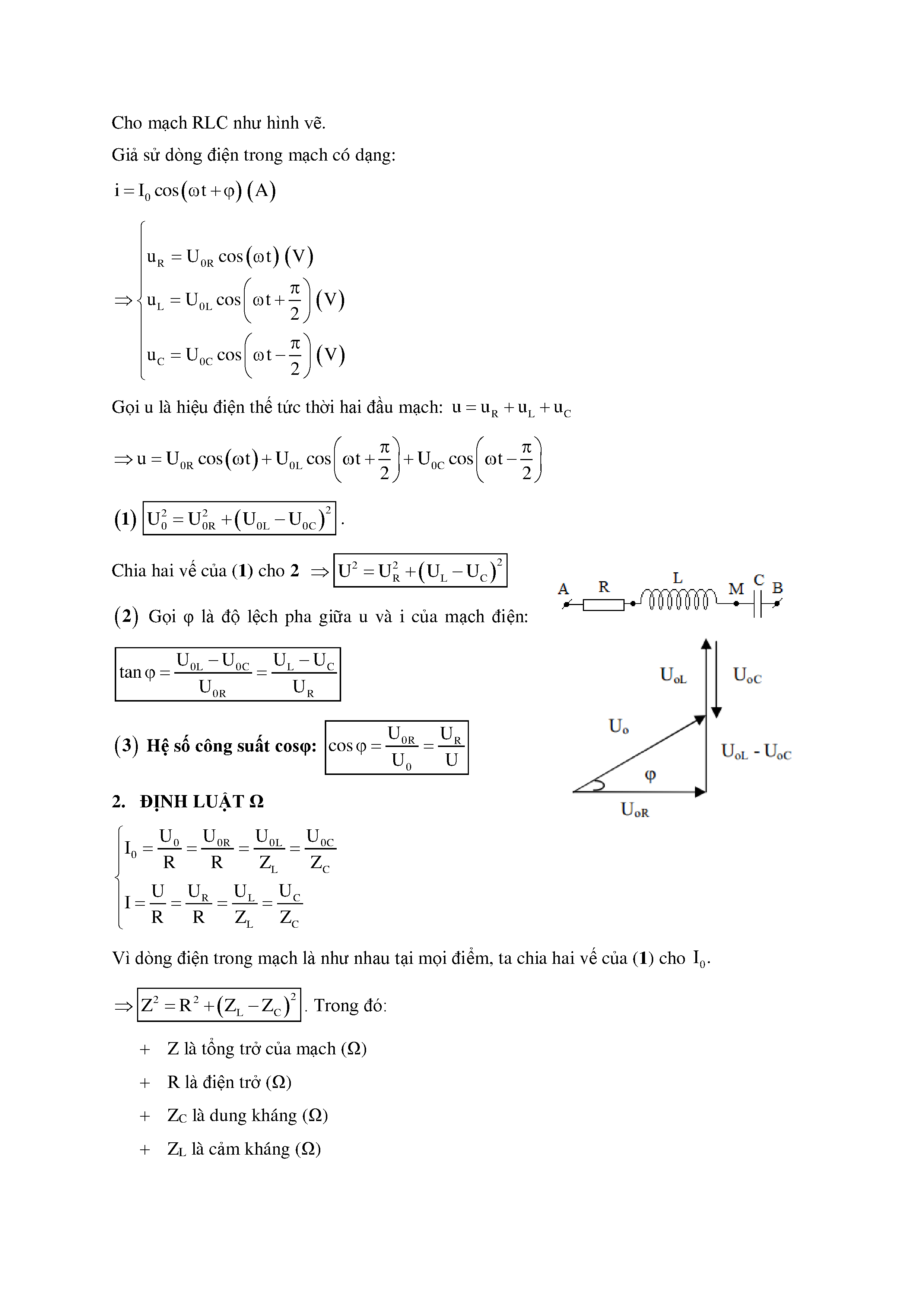
2.1 Giới thiệu bảng mạch RLC
2.2 Định luật Ohm
2.3 Công suất mạch RLC - P
2.4 Cộng hưởng điện
Bài 3: Công suất và cực trị công suất
3.1 Công suất và các công thức công suất
3.2 Cực trị công suất và các công thức
Bài 4: Hiệu điện thế và cực trị hiệu điện thế
4.1 Độ tự cảm thay đổi
4.2 Điện dung thay đổi
4.3 Điện trở thay đổi
4.4 Tần số góc thay đổi
4.5 Mạch RLC có C thay đổi để Urc max
4.6 Mạch RLC có L thay đổi để Url max
Bài 5: Phương pháp giả đồ Véctơ
5.1 Cơ sở lý thuyết hình học
5.2 Cơ sở kiến thức Vật Lý
5.3 Các phương pháp vẽ giản đồ
Bài 6: Bài toán hộp đen
6.1 Độ lệch pha u và i
6.2 Căn cứ vào hiệu điện thế
Bài 7: Máy biến áp và truyền tải điện đi xa
7.1 Phương pháp giải bài tập
- Máy biến áp
- Công thức máy biến áp
- Bài toán truyền điện
Bài 8: Máy phát điện - Động cơ điện
8.1 Phương pháp giải bài tập
8.2 Máy phát điện xoay chiều 1 pha
8.3 Máy phát điện xoay chiều 3 pha
Bài 1: Hiện tượng tán sắc ánh sáng - Các loại quang phổ
1.1 Hiện tượng tán sắc ánh sáng
1.2 Giải thích hiện tượng tán sắc ánh sáng
1.3 Máy quang phổ
1.4 Các loại quang phổ
Bài 2: Công thức bài tập hiện tượng tán sắc ánh sáng
2.1 Bài tập về lăng kính
2.2 Bài tập về thấu kính
2.3 Hiện tượng khúc xạ ánh sáng
2.4 Hiện tượng phản xạ toàn phần
Bài 3: Giao thoa ánh sáng
3.1 Hiện tượng nhiễu xạ ánh sáng
3.2 Hiện tượng giao thoa ánh sáng
3.3 Các bài tập cơ bản
Bài viết các em có thể tham khảo thêm:
Tóm tắt trọng tâm lý thuyết Vật Lí 12
Học Mãi tổng hợp toàn bộ công thức cần nhớ bằng file PDF để các em học sinh có thể thuận tiện và dễ dàng hơn trong việc ôn tập. Xem chi tiết bên dưới.
Cơ quan chủ quản: Công ty Cổ phần Đầu tư và Dịch vụ Giáo dục
MST: 0102183602 do Sở kế hoạch và Đầu tư thành phố Hà Nội cấp ngày 13 tháng 03 năm 2007
Địa chỉ:
- Văn phòng Hà Nội: Tầng 4, Tòa nhà 25T2, Đường Nguyễn Thị Thập, Phường Trung Hoà, Quận Cầu Giấy, Hà Nội.
- Văn phòng TP.HCM: Lầu 3, 51-53 Võ Văn Tần, phường Võ Thị Sáu, quận 3, Tp. Hồ Chí Minh.
Hotline: 19006933 – Email: hotro@hocmai.vn
Chịu trách nhiệm nội dung: Phạm Giang Linh
Giấy phép cung cấp dịch vụ mạng xã hội trực tuyến số 597/GP-BTTTT Bộ Thông tin và Truyền thông cấp ngày 30/12/2016.
- Ưu đãi 30% học phí PEN-I dành riêng cho bạn
- Thời gian: Chỉ đến hết 4/12/2015
Bạn đang đăng nhập. Vui lòng chờ trong giây lát.
Bạn cần ĐĂNG KÝ khóa học này để tham gia làm bài "Đánh giá năng lực"!