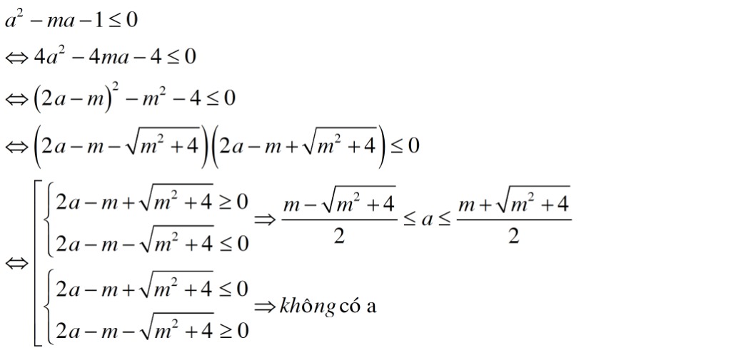
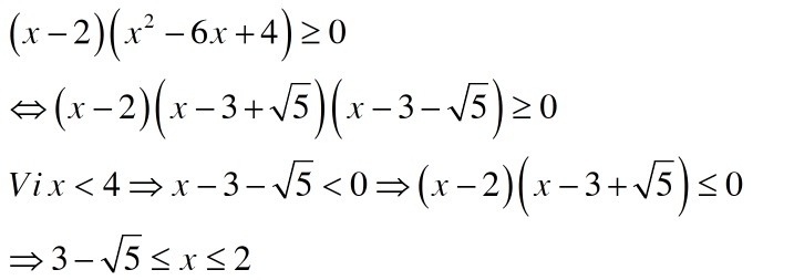
CHỦ ĐỀ 17. BẤT ĐẲNG THỨC VÀ CỰC TRỊ.
Độ dài: 26 phút - Số lượt học 937
Đây là nhóm học của thầy Hồng Chí Quang trên diễn đàn HOCMAI.
Bạn cần "Đăng ký" khóa học để tham gia nhóm!
Bạn vui lòng xác nhận số điện thoại để học miễn phí
Bạn đã hết thời gian xem miễn phí, vui lòng mua khóa học để được xem hoàn toàn bài giảng.
Cơ quan chủ quản: Công ty Cổ phần Đầu tư và Dịch vụ Giáo dục
MST: 0102183602 do Sở kế hoạch và Đầu tư thành phố Hà Nội cấp ngày 13 tháng 03 năm 2007
Địa chỉ:
- Văn phòng Hà Nội: Tầng 4, Tòa nhà 25T2, Đường Nguyễn Thị Thập, Phường Trung Hoà, Quận Cầu Giấy, Hà Nội.
- Văn phòng TP.HCM: Lầu 3, 51-53 Võ Văn Tần, phường Võ Thị Sáu, quận 3, Tp. Hồ Chí Minh.
Hotline: 19006933 – Email: hotro@hocmai.vn
Chịu trách nhiệm nội dung: Phạm Giang Linh
Giấy phép cung cấp dịch vụ mạng xã hội trực tuyến số 597/GP-BTTTT Bộ Thông tin và Truyền thông cấp ngày 30/12/2016.
- Ưu đãi 30% học phí PEN-I dành riêng cho bạn
- Thời gian: Chỉ đến hết 4/12/2015
Bạn đang đăng nhập. Vui lòng chờ trong giây lát.
Bạn cần ĐĂNG KÝ khóa học này để tham gia làm bài "Đánh giá năng lực"!

Chưa có thông báo nào